![]() |
Culture-Sensitive and Resource Oriented Peer (CROP)
|
Walter Renner,
University of Innsbruck and UMIT (Private University of Health Sciences, Medical Informatics and Technology), Dept. of Psychology, Innrain 52, A-6020 Innsbruck, Austria. Email: walter.renner@uibk.ac.at
Eva Bänninger-Huber,
University of Innsbruck, Dept. of Psychology, Innrain 52, A-6020 Innsbruck,
Austria.
Karl Peltzer,
Social Aspects of HIV/AIDS and Health, Human Sciences Research Council & Department
of Psychology, University of the Free State, South Africa.
Walter RennerUMIT |
Eva Bänninger-HuberUMIT |
Karl PeltzerSocial Aspects of HIV/AIDS and Health, |
Asylum seekers and refugees frequently suffer from post-traumatic stress and culturally sensitive methods towards reducing symptoms should be taken into account. The aim of the work reported here was to examine the effectiveness of Culture-Sensitive and Resource Oriented Peer (CROP) - Groups for Chechen asylum seekers and refugees towards reducing post-traumatic symptoms, anxiety, and depression. Some ninety-four participants were randomly assigned to 15 sessions of CROP - or Cognitive Behavior Therapy (CBT) - Groups, to 3 single sessions of Eye Movement Desensitization and Reprocessing (EMDR), or to a Wait-List (WL). The results indicated that CROP was significantly superior to WL, and was equally effective as CBT in reducing post-traumatic symptoms, anxiety, and depression. Improvements still were present at three and six month follow-up occasions. EMDR yielded negative results. According to this pilot study, CROP-Groups pose a promising, culturally sensitive alternative to psychotherapy with Chechen migrants.
People from Chechnya represent the most prominent group among approximately 30,000 asylum seekers in Austria (Ministry of the Interior, 2009). About 50% of them were found to suffer from symptoms of post-traumatic stress which frequently differ from those of Western people (Renner, Salem, & Ottomeyer, 2006). Rather than fulfilling the typically "western" criteria of post-traumatic stress disorder, as a consequence of traumatic stress Chechens frequently reported about feeling irritated, detached, and suspicious as well as suffering from headache, heart troubles and having difficulties expressing emotions. Moreover, Chechen men tended to emphasize toughness and, although being traumatized showed little avoidant behavior (Renner, Salem, & Ottomeyer, 2007). Chechen culture is a typically collectivist, group oriented one characterized by hierarchical thinking, traditional gender roles and Muslim religion, while Austrian society is characterized by the egalitarian ideals of industrialized, western, individualistic life. With respect to these cultural specificities and to their marginalized position in Austrian society, Chechen refugees and asylum seekers can be expected to have specific mental health needs which differ from those of the host country’s population.
For western patients a multitude of therapeutic techniques towards dealing with post-traumatic symptoms have been examined (Rothbaum, Meadows, Resick, & Foy, 2000). Just as western diagnostic systems only partly account for culturally specific symptomatology, little is known about the effectiveness of "western" therapeutic interventions for people from other parts of the world (Foa, Keane & Friedman, 2000). Interventions must be "culturally congruent" (de Jong, 2004, p. 171), taking into account the different evaluation of grief as well as important religious differences between cultures. Therapy must take into consideration not only different diagnostic (Eisenbruch, 1992) and cultural (Kirmayer, 1989) backgrounds, but also ethnic identity and specific practices (Jablensky et al., 1994), culture related expectancies (McIvor & Turner, 1995), illness metaphors (Coker, 2004) as well as the existence of culture specific symptoms and their meanings (Chakraborty, 1991).
Some empirical studies suggest, however, that Western psychotherapeutic techniques can be adapted successfully to other cultures by employing lay counseling and self-help techniques. Community based mental health approaches for refugees and asylum seekers have been reported to work effectively for example by Eisenbruch, de Jong, and van de Put (2004), who referred to the work of the Transcultural Psychosocial Organization (TPO), which trained local counselors towards assisting Sudanese refugees in Uganda and displaced persons in Cambodia. Similarly, Neuner, Onyut, Ertl, Odenwald, and Schaer (2008) presented the results of a controlled study of successful lay counseling with refugees from Somalia and Rwanda who were suffering from post-traumatic symptoms. In the light of such encouraging evidence, the current guideline developed by the National Institute for Clinical Excellence (NICE, 2006) suggests that "A randomised controlled trial, using newly developed guided self-help materials based on trauma-focused psychological interventions, should be conducted to assess the efficacy and cost-effectiveness of guided self-help compared with trauma-focused psychological interventions for mild and moderate PTSD" (p. 132).
These suggestions correspond to the aims of the present study. Chechen refugees frequently suffer from the loss of their extended families and social support groups as well as from acculturative stress as a consequence of problems in the course of resettlement (Beiser, 2006). Thus, it could be expected that Chechen refugees and asylum seekers would benefit substantially from culturally homogenous, guided self-help or CROP-Groups for Chechen refugees and asylum seekers in Austria as a means towards reducing symptoms of post-traumatic stress as well as anxiety and depression. Our basic expectation was that by including culturally specific elements of coping with trauma and distress, the CROP-Group facilitators would make up for their lack of professional education and would thus be at least equally effective as professional western therapists.
Shalev, Friedman, Foa and Keane (2000) have indicated that various conventional western treatment approaches for PTSD can be recommended, each one having its advantages and limitations, while none of them is clearly superior to the others. According to these authors, for example, controlled studies with Western patients have proved Cognitive-Behaviorial Therapy (CBT) and Eye Movement Desensitization and Reprocessing (EMDR) as well as Group Therapy to be clearly effective. Rothbaum et al. (2000) summarized multiple studies indicating that ten to 15 sessions of CBT as an intervention for trauma victims yielded effect sizes ranging from 1.00 to 2.00 as compared to a wait list. Similarly, two to five sessions of EMDR were highly effective as a short-term intervention towards reducing post-traumatic stress (Chemtob, Tolin, van der Kolk, & Pitman, 2000).
We therefore decided to compare the effects of the CROP-Groups with those of CBT in a group setting and of EMDR. We expected that the outcome of the CROP groups would be significantly superior to a Wait-List control condition (Hypothesis 1), that the outcome of the CROP groups would be equal or superior to the outcome of CBT in a group setting and to a short-term intervention on the basis of EMDR in a one-to-one setting (Hypothesis 2) and that the CROP groups would yield effect sizes of at least 1.00 as compared to the wait-list control condition (considering the effect sizes reported for effective psychotherapy by Rothbaum et al., 2000) (Hypothesis 3). These effects were expected with respect to a reduction of post-traumatic stress and of general psychopathology.
In addition, we tested the hypothesis that group attendance would increase "Post-Traumatic Growth" in the sense of Tedeschi and Calhoun (1996). This hypothesis was not confirmed. For the sake of briefity, the respective reults are not reported here but can be obtained from the first author upon request.
In the course of a preparatory phase, we trained two male and two female Chechen lay-people as prospective CROP-Group facilitators. The training comprised 12 workshops with a total of 180 hours, two thirds of which had to be attended personally; One third of the time comprised homework. As outlined in detail by Renner et al. (2008), the workshops addressed themes like culturally specific sequelae of trauma found in Chechens previously, trauma and culture, as well as examples of good practice of culturally sensitive treatment approaches. In the course of the workshops we also discussed aspects of refugee mental health, including the facilitators' own experiences and psychological situation. Western therapeutic methods were introduced but it was explained to the facilitators that they were not expected to "copy" these methods in due course. Rather, they were encouraged to employ a problem solving approach, in the course of which they would find out by themselves which goals they should aim at and which methods they should employ towards reaching these goals. The two women, a tailor and a secretary, were 28 and 41 years of age and, at the beginning of the intervention, had been staying in Austria for 32 and 38 months respectively. Both men were teachers, 44 and 37 years of age, with 30 and 36 months of residence respectively. All four group leaders had already been granted asylum and all of them were married and had children. The prospective facilitators showed moderate symptoms of traumatization which they were eager to manage by the proposed self-help activities. In the course of the interventions, they were supervised closely by the principal investigator after each session; at the same time they reported to him the issues they had discussed with the participants.
Data were collected from (1) 15 sessions of a male CROP-Group (initial N = 15), (2) 15 sessions of a female CROP-Group (initial N = 10), (3) 15 sessions of a male CBT group (initial N = 11), (4) 15 sessions of a female CBT group (initial N = 10), (5) 3 sessions of EMDR in a one-to-one setting (initial N = 17), (6) a male Wait-List control group (initial N = 16), and (7) a female Wait-List control group (initial N = 15).
Both asylum seekers and refugees were included in the study, their psychological situation being a similar one. Firstly, according to Austrian legislation, for most of the Chechen asylum seekers who took part in the study, chances to be granted asylum or subsidiary protection for humanitarian reasons during the various stages of appeal was very high; secondly, those recognized refugees who participated in the study had been granted asylum only recently; thus most of them were still living at public homes and also were dependent on public welfare.
Participants were recruited with the help of refugee homes, charities, and the provincial government. Out of these 150 persons contacted initially, a total of 101 came to an information day and 94 (44 or 46.1% of them female) agreed to participate. Travel expenses were paid for.
No special rationale towards selecting the participants was followed; rather participation was left to their own decision on the basis of the information they were offered at the initial meeting. All participants signed informed consent forms at the beginning of the study. These forms were printed in Russian and explained the details, duration, and the purpose of the study (For non-medical research, according to Austrian legislature a formal process of ethical clearance is not required). In the case of four participants under 18 years of age, their parents had given their consent.
Participants were assigned to the above mentioned conditions at random. Their mean age at the beginning of the study was 34.83 years (SD = 9.78, range 16 to 54 years). Thirteen participants were single, 59 married, nine widowed, and one was divorced. Twelve participants refused to state their marital status. Their average length of stay in Austria was 25.6 months (SD = 7.98, range eight to 48 months). Fifty-one participants (45.3 %) had already been granted asylum at the time of the beginning of the study (we did not record the number of participants who were granted asylum in the course of the interventions). The participants assigned to the CROP as compared to the CBT, the EMDR, and the wait-list condition did not differ significantly with respect to marital status (p = .447), length of stay in Austria (p = .365), or asylum status (p = .130) nor did they differ significantly with regard to post-traumatic stress (p = .922), general psychopathology (p = .784), or Post-Traumatic Growth (p = .485) at the start of the interventions. They differed, however, significantly with respect to their age (p = .032). A flow-chart of participants in the course of the study according to CONSORT recommendations can be provided upon request.
All participants were supported by the Austrian authorities and in addition by charities when necessary. This type of psycho-social support is common practice in Austria for all asylum seekers (including refugees when in need of assistance). Thus, the CROP, Wait-List, CBT and EMDR conditions did not differ systematically with respect to this type of additional support received.
All group sessions took place once a week and lasted for 90 minutes. Following a self-help paradigm and in the absence of a fixed schedule or program, the leaders of the CROP-Groups were free to follow their own ideas and to respond spontaneously to the group members’ needs. Thus, taking into account that the group leaders were lay people who had come to Austria only a few years ago, cultural congruence of the interventions was guaranteed to as large an extent as possible.
Women more frequently then men were engaging in positive activities like singing, dancing, hearing music, eating, or just having fun in the course of the group sessions. Women, in contrast to men were able to show their grief, depressive feelings, or homesickness openly. Both, men and women expressed a high degree of concern for each other’s problems and were eager to provide emotional as well as practical support. At other occasions women were discussing everyday issues like child care, household affairs, or cooking, while men adhered to themes like how to deal with the authorities in a proper way, how to obtain an Austrian driving license, how to help their compatriots when in need of special medical assistance, or how to apply for a job or to find work. Both, men and women frequently were talking about the fate of their relatives left back in Chechnya, with men showing special concern for Chechen politics. In summary, both, men and women, typically did not usually discuss traumatic events or post-traumatic symptoms but rather issues of everyday life, daily hassles, and difficulties in the course of acculturation.
CBT-Groups were conducted by same-sex professional therapists, registered with the Austrian ministry of health, assisted by interpreters. CBT-Groups included Progressive Relaxation and a breathing technique as a means towards reducing level of arousal as well as a problem solving technique which dealt with practical concerns of everyday life. An important focus of CBT was discussing emotions related to trauma and cognitive restructuring as a means towards dealing with intrusive thoughts. CBT also included elements of exposure by motivating participants to remember traumatic events in detail.
EMDR Individual Treatment was also facilitated by an interpreter and was conducted by a male Austrian clinical psychologist. This short-term psychological intervention included history taking and brief counseling. An EMDR-intervention was included when considered appropriate by the psychologist, i.e., the actual EMDR technique (Shapiro, 2001) was applied only when the patient was able to visualize a specific traumatic event. This was the case in approximately 50 % of the cases, while in the other cases participants suffered from multiple traumatization. All the interventions took place at an Innsbruck based refugee home.
As shown in Figure 1, CROP-Groups, CBT-Groups, and EMDR individual treatment took place between September (T1) and December 2006 (T2), while the CROP-Intervention for the Wait-List group took place between December 2006 (T2) and March 2007 (T3). Alternatively, for the Wait-List Group the intervention could have been offered at T4 as one reviewer suggested. Thus, the effect of a longer waiting time could have been studied. To us, for ethical reasons, however, a longer waiting time seemed unacceptable for ethical as well as for practical reasons. Assessments were made prior to (T1) and at the end (T2) of the interventions as well as at a three- and a six-months follow-up. Thus, follow-ups took place at T3 and T4 for the initial CROP-, CBT-, and EMDR-condition and at T4 and T5 for the Wait-List condition.

Figure 1: Timetable of interventions and pre-, post- and follow-up
assessments
(T1 = September 2006, T2 = December 2006, T3 = March 2007, T4 = June 2007,
T5 = September 2007
All the instruments were administered in their written Russian version by the first author after being translated and back-translated by professional interpreters. All participants were able to read and understand the questionnaires. Whenever necessary, if they had questions with respect to the exact meaning of single items, they were assisted by an interpreter.
Post-Traumatic Symptoms were measured by items 1 to 16 of the Harvard Trauma Questionnaire (HTQ, Mollica et al., 1992) and symptoms of anxiety and depression were measured by the Hopkins Symptom Checklist-25 (HSCL-25, Mollica et al., 1987). Reliability and validity of the Russian translation of both measures when applied to Chechen asylum seekers and refugees have been confirmed previously by Renner et al., 2006).
Sample size was planned beforehand with respect to the expected statistical power according to Cohen (1992). Symptom reduction was assessed by Repeated Measures Analyses of Variance (ANOVA).
For the purpose of data analysis, male and female CROP-Groups, male and female CBT-Groups, and male and female Wait-List control groups were combined respectively and entered as Between-Subject Factors into the analysis. Thus, taking sample size into account, it was not possible to examine gender effects. Men and women did not differ significantly (HTQ: p = .103; HSCL-25: p = .405), however, from each other with respect to their initial scores on the two measures.
Test scores were used as within-subject variables. With respect to the Wait-List Group, t-tests were used to test for within-subject significance of change from pre- to post-treatment.
In order to avoid a "bottom effect", we had determined in advance that only subjects with considerable post-traumatic symptoms (i.e., a score on the Harvard Trauma Questionnaire [HTQ] > 1.75¸ cf., Renner et al., 2006) should be included in the study of post-traumatic stress and general psychopathology.
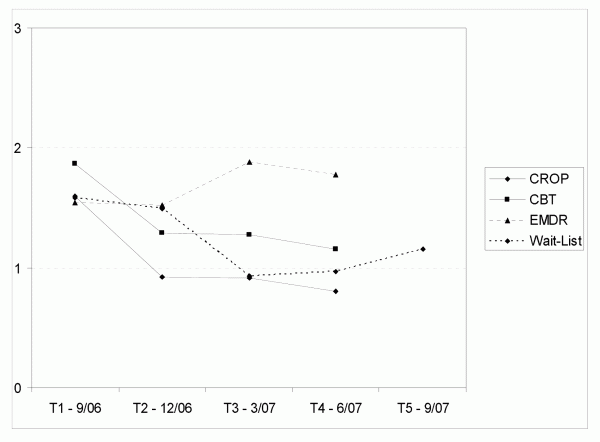
The changes of mean scores on the HTQ and the HSCL-25 are shown in Figures 2 and 3 respectively for the CROP-Groups, the CBT-Groups, for the EMDR one-to-one treatment as well as for the Wait-List control condition (with respect to the course of interventions and assessments cf. Figure 1).

Figure 2 Changes of mean HTQ
(Part IV, items 1 to
16) scores in four groups (only N = 32 subjects present at all occasions
and with HTQ > 1.75
in September 2006 considered:
CROP N = 9, CBT N = 10, EMDR N = 6, Wait-List
N = 7).
The
CROP, CBT and EMDR Interventions took place between T1 and T2, while the
Wait List received the intervention between T2 and T3.

Figure 3 Changes of mean HSCL-25 scores in four groups
(only N =
32 subjects present at all occasions and with HTQ > 1.75 in September
2006 considered:
CROP N = 9, CBT N = 10, EMDR N = 6, Wait-List N = 7).
The CROP, CBT
and EMDR Interventions took place between T1 and T2, while the Wait List
received the intervention between T2 and T3.
Only participants with an initial HTQ Score > 1.75 and only those who had completed the questionnaires on all occasions are included in the figures. In addition it must be noted that in all the groups there was a substantial drop out rate. This was due to the fact that many men and women at first were enthusiastic to participate and filled in the questionnaires at the initial meeting, but soon lost interest. In addition, asylum seekers and refugees in Austria are a highly unstable population and quite frequently, according to their own wishes or following decisions by the authorities, are transferred to different places, for example, from one refugee home to another or to private quarters.
As can be seen from Figure 2, the CROP and the CBT Group improved markedly during the interventions between T1 and T2 and the Wait List Control Group did so during the intervention which took place between T2 and T3. In contrast, the EMDR Group did not improve. For the HTQ, Repeated Measures ANOVA revealed that the CROP-Groups (N = 12) were significantly superior to the Wait-List condition (N = 16), as far as improvement from T1 to T2 is concerned (p = .002) and thus, Hypothesis 1 was confirmed. According to Hypothesis 2, we had expected that the CROP-Condition, the CBT- and the EMDR-condition would not differ significantly from each other over T1, T2, T3, and T4, or that CROP would be significantly superior to CBT and EMDR. Repeated Measures ANOVA showed that CROP (N = 9) and CBT (N = 10) did not differ significantly from T1 to T4 (p < .549). The CROP-Condition (N = 9) was significantly superior to the EMDR-Condition (N = 5) from T1 to T4 (p < .005). Thus, Hypothesis 2 also was confirmed with respect to the HTQ. Hypothesis 3 had postulated that the CROP-Groups, as compared to the Wait-List condition would achieve effect sizes of at least 1.00. The initial HTQ mean scores at T1 for the CROP-Group and the Wait-List Control Group were 2.87 (SD = 0.55, N = 12) and 2.58 (SD = 0.58, N = 16) respectively. At T2, the CROP-Group had a mean of 2.20 (SD = 0.65, N = 12), while the Wait-List Control Group had a mean of 2.48 (SD = 0.66, N = 16). From these data, an effect size of 0.94 was computed. Thus Hypothesis 3, which had predicted an effect size of at least 1.00 was not confirmed.
From Figure 2, for the CROP-Group an increase of symptoms on the HTQ from T2 to T3 can be seen. This increase is not significant (p = .174). At T3, however, in the CROP-Group HTQ-Scores do not differ significantly from T1 any more (p = .061), indicating that the effect achieved at T2 had been "lost" at T3.
In the Wait-List group, in the course of the CROP-Intervention, which in this case took place between T2 and T3, HTQ mean scores significantly decreased from initially 2.49 (SD = 0.68) to 1.86 (SD = 0.64) (p = .002, N = 15) with an effect size of 0.82 as compared to the same group when it had served as the Wait-List control group between T1 and T2.
After the CROP intervention had ended, with respect to HTQ-scores, no significant change took place, both in the original CROP condition (with respect to T2 vs. T3 vs. T4) (p = .145, N = 9) as well as in the Wait-List Condition (with respect to T3 vs. T4 vs. T5) (p = .763, N = 7).
Figure 3 indicates that the CROP and the CBT interventions led to a marked reduction of symptoms between T1 and T2. Accordingly, the Wait-List Group improved considerably in the course of the intervention between T2 and T3, while the EMDR Group did not achieve a reduction of symptoms. Again, between T1 and T2, the CROP-Groups (N = 12) were significantly superior to the Wait-List Condition (N = 16) (p < .016). Thus, with respect to the HSCL-25, Hypothesis 1 again was confirmed. When the HSCL-25 scores at T1, T2, T3, and T4 were considered, CROP (N = 9) and CBT (N = 10) did not differ significantly from each other (p = .992). CROP-Groups (N = 9) were significantly superior to EMDR individual treatment (N = 6) over T1 to T4 (p = .010, N = 15) and thus, Hypothesis 2 was also confirmed with respect to the HSCL-25. On the HSCL-25, at T1, the mean score of the CROP-Group was 1.57 (SD = 0.64, N = 12), and the mean score of the Wait-List-Group was 1.64 (SD = 0.64, N = 16). At T2, the mean score of the CROP-Group was 0.86 (SD = 0.46, N = 12), while the mean score of the Wait-List-Group was 1.43 (SD = 0.61, N = 16). The effect size resulting from these data was 0.93 and thus, with respect to the HSCL-25, Hypothesis 3 was not confirmed.
From Figure 3 it might be speculated that the scores of the EMDR-Group had increased over the four measurement occasions. Repeated Measures ANOVA, however, yielded a non-significant result (p = .071).
When the Wait-List Group received the CROP intervention between T2 and T3, symptoms on the HSCL-25 significantly (t = 3.611, df = 14, p = .003, N = 15) decreased from a mean of 1.47 (SD = 0.60) to a mean of 0.84 (SD = 0.70) and, as compared to the control condition (i.e, the same group between T1 and T2), an effect size of 0.62 was achieved.
Again there was neither a significant change of test scores in the original CROP-Group (p = .814, N = 9) over T2, T3, and T4, nor in the Wait-List Control Group (p = .756, N = 7) over T3, T4, and T5.
The present pilot study yielded some encouraging results. CROP-Groups were significantly superior to a Wait-List condition and to a short term EMDR one-to-one intervention and were equally effective as CBT with respect to reducing post-traumatic stress as well as anxiety and depression, also when the follow-up measurements were taken into account. Although effect sizes achieved were somewhat lower than expected, they still indicated an effective intervention.
CROP-Groups may have been effective by encouraging participants to express openly their feelings and thoughts. Communicating emotions to others who express their concern may enhance a feeling of being understood, of encouragement, and hope and thus help to reduced the perceived intensity of stress-related symptoms. Especially women have engaged in positive activities like singing and dancing which may have contrasted with their boring everyday life in the refugee homes. In accordance with Lewinsohn's (1974) reinforcement based theory of depression, positive activities may have contributed to an improved mood level. Accordingly the men's discussions pertaining to the resolution of everyday problems may have instigated feelings of self-efficacy and empowerment which also may have contributed to symptom reduction. The CROP intervention may have met the participants’ emotional needs quite well and this may have made up for the group facilitators’ lack of professional education.
It should be kept in mind that temporarily the significant effects of the CROP-Groups disappeared at the first Follow-Up occasion (T3). This effect may be due to a perceived deficit of social support after the interventions had ended and should be followed up by future research.
It is important to emphasize that the present results do not suggest CROP-Groups to work more effectively than CBT. Rather, both methods of interventions yielded comparable improvements. Thus, in the absence of a placebo condition, the possibility of non-specific therapeutic effects which could be reached by any plausible intervention should be taken into account. Both CROP and CBT may have been effective by communicating to the participants feelings of being understood and accepted by the group as well as by the facilitators or therapists.
Quite interestingly, the CROP interventions, as opposed to standardized CBT and EMDR, focused on everyday problems and acculturative stress rather than post-traumatic symptomatology. Accordingly, a meta-analysis by Porter and Haslam (2005) as well as the findings by Beiser (2006) suggested paying attention not only to post-traumatic symptoms but also to the current difficulties in the course of acculturation when trying to assist asylum seekers and refugees. The CROP-Groups also were successful in incorporating spontaneous activities like having fun and discussing everyday matters and in this respect also differed substantially from typically "western" self-help activities of trauma survivors. These considerations might be helpful in planning professional interventions which might combine the post-traumatic and the acculturative aspect in future.
In contrast to many previous findings, EMDR led to negative results. One reason may be that EMDR is not effective for clients with multiple traumatization as the technique requires the clients to visualize a single traumatic memory. Alternatively, the one-to-one setting could have been inadequate for this special group of clients stemming from a group oriented society.
Another limitation of the study refers to the fact that only self-report measures have been applied. Although the instruments employed have been found to be reliable and valid with Chechens by Renner et al. (2006), the use of western instruments with a collectivist non-western sample remains problematic. The positive outcome of the CROP and the CBT groups might reflect the participants' desire to please the group leaders rather than real change. Thus, in future studies more objective assessments (including the participants’ ability to experience and regulate emotions) might be employed.
The results of the present pilot study might encourage future researchers to test the self-help paradigm with additional refugee populations of different cultural background and in various parts of the world. Future studies also might employ larger samples in order to investigate gender specific differences in the effectiveness of CROP interventions.
Beiser, M. (2006). Longitudinal research to promote effective refugee resettlement. Transcultural Psychiatry, 43, 56-71.
Chakraborty, A. (1991). Culture, colonialism, and psychiatry (1991). The Lancet, 337, 1204-1207.
Chemtob, C. M., Tolin, D. F., van der Kolk, B. A., & Pitman, R. K. (2000). Eye movement desensitization and reprocessing. In E. B. Foa, T. M. Keane & M. J. Friedman (eds.) Effective treatments for PTSD. Practice guidelines from the International Society for Traumatic Stress Studies (pp. 139-154). New York: Guilford.
Cohen, J. (1992). A power primer. Psychological Bulletin, 112, 155-159.
Coker, E. M. (2004). "Traveling pains": Embodied metaphors of suffering among Southern Sudanese refugees in Cairo. Culture, Medicine and Psychiatry, 28, 15-39.
de Jong, J. T. V. M. (2004). Public mental health and culture: Disasters as a challenge to western mental health care models, the self, and PTSD. In J. P. Wilson & B. Drozdek (Eds.), Broken Spirits (pp. 159-178). New York: Brunner-Routledge.
Eisenbruch, M. (1992). Toward a culturally sensitive DSM: Cultural bereavement in Cambodian refugees and the traditional healer as taxonomist. Journal of Nervous and Mental Disease, 180, 8-10.
Eisenbruch, M., de Jong, J. T. V. M., & van de Put, W. (2004). Bringing order out of chaos: A culturally competent approach to managing the problems of refugees and victims of organized violence. Journal of Traumatic Stress, 17, 123-131.
Foa, E. B., Keane, T. M. & Friedman, M. J. (2000a). Effective treatments for PTSD. Practice guidelines from the International Society for Traumatic Stress Studies New York: Guilford.
Jablensky, A., Marsella, A. J., Ekblad, S., Jansson, B., Levi, L. & Bornemann, T. (1994). Refugee mental health and well-beging: Conclusions and recommendations. In A. J. Marsella, T. Bornemann, S. Ekblad & J. Orley (eds.), Amidst peril and pain. The mental health and well-being of the world's refugees (pp. 327-339). Washington, DC: APA.
Kirmayer, L. J. (1989). Cultural variations in the response to psychiatric disorders and emotional distress. Social Science and Medicine, 29, 327-339.
Lewinsohn, P. M. (1974). A behavioral approach to depression. In R. J. Friedman & M. M. Katz (Eds.), The psychology of depression: Contemporary theory and research (pp. 157 – 185). New York: Wiley.
McIvor, R. J. & Turner, S. W. (1995). Assessment and treatment approaches for survivors of torture. British Journal of Psychiatry, 166, 705-711.
Ministry of the Interior (2009). Asyl und Fremdenwesen. Statistiken 2009. [Asylum and foreigners affairs. Statistics 2007.]. http://www.bmi.gv.at/publikationen/ http://www.bmi.gv.at/downloadarea/asyl_fremdenwesen_statistik/2007/11/Asylstatistik_11_07.pdf . Retrieved on 15th May, 2009.
Mollica, R. F., Caspi-Yavin, Y., Bollini, P., Truong, T., Tor, S., & Lavelle, J. (1992). The Harvard Trauma Questionnaire: Validating a cross-cultural instrument for measuring torture, trauma, and posttraumatic stress disorder in Indochinese refugees. Journal of Nervous and Mental Disease, 180, 111-116.
Mollica, R. F., Wyshak, G., de Marneffe, D., Khuon, F., & Lavelle, J. (1987). Indochinese versions of the Hopkins Symptom Checklist-25: A screening instrument for the psychiatric care of refugees. American Journal of Psychiatry, 144, 497-500.
Neuner, F., Onyut, P. L., Ertl, V., Odenwald, M., & Schaer, E. (2008). Treatment of posttraumatic stress disorder by trained lay counselors in an African refugee settlement: A randomized controlled trial. Journal of Consulting and Clinical Psychology, 76, 686-694.
NICE (National Institute for Clinical Excellence) (2006). Post-traumatic stress disorder. The management in adults and children in primary and secondary care. The Britsh Psychological Society. http://www.nice.org.uk/nicemedia/pdf/CG026NICEguideline.pdf Retreived on 18th May, 2009.
Paunovic, N. & Ost, L. G. (2001). Cognitive-behavior therapy vs. exposure therapy in the treatment of PTSD in refugees. Behavior Research & Therapy, 39, 1183-1197.
Porter, M. & Haslam, N. (2005). Predisplacement and postdisplacement factors associated with mental health of refugees and internally displaced persons. Journal of the American Medical Association, 294, 602 – 612.
Renner, W., Kaserer, J., Grabher, E., Marsella, A., Morawetz, R., & Peltzer, K. (2008). Training Refugees as Facilitators of Culture-Sensitive and Resource Oriented Peer Groups. In W. Renner (Ed.), Culture sensitive and resource oriented peer (CROP) groups. Austrian experiences with a self-help approach to coping with trauma in refugees from Chechnya(pp. 51-73). Innsbruck: Studia.
Renner, W., Salem, I., & Ottomeyer, K. (2006). Cross-cultural validation of psychometric measures of trauma in groups of asylum seekers from Chechnya, Afghanistan and West Africa. Social Behavior and Personality, 35, 1101 – 1114.
Renner, W. Salem, I. & Ottomeyer, K. (2007). Posttraumatic stress in asylum seekers from Chechnya, Afghanistan and West Africa - Differential findings obtained by quantitative and qualitative methods in three Austrian samples. In J. P. Wilson & C. Tang, (Eds.), The cross-cultural assessment of psychological trauma and PTSD (pp. 239 – 278). New York: Springer.
Rothbaum, B. O., Meadows, E. A., Resick, P., & Foy, D. W. (2000). Cognitive-Behavioral Therapy. In E. B. Foa, T. M. Keane & M. J. Friedman (eds.) Effective treatments for PTSD. Practice guidelines from the International Society for Traumatic Stress Studies (pp. 60-83). New York: Guilford.
Shalev, A. Y., Friedman, M. J., Foa, E. B. & Keane, T. M. (2000). Integration and summary. In E. B. Foa, T. M. Keane & M. J. Friedman (eds.) Effective treatments for PTSD. Practice guidelines from the International Society for Traumatic Stress Studies. New York: Guilford.
Shapiro, F. (2001). Eye movement desensitization and reprocessing (EMDR). Second edition: Basic principles, protocols, and procedures. New York: Guilford.
Tedeschi, R. G. & Calhoun, L. G. (1996). The post-traumatic growth inventory: Measuring the legacy of trauma. Journal of Traumatic Stress, 9, 455-472.
We gratefully acknowledge the funding by the Austrian Science Fund (stand alone project Nr. P18789-G14). We wish to thank two anonymous reviewers for valuable suggestions.
| Comments to Trauma.Webmaster@massey.ac.nz Massey University, New Zealand URL: http://trauma.massey.ac.nz/ |
Disclaimer
Last changed
6 July, 2011
|